Pelajari Contoh Soal Fungsi Komposisi Beserta Pembahasannya Terbaru
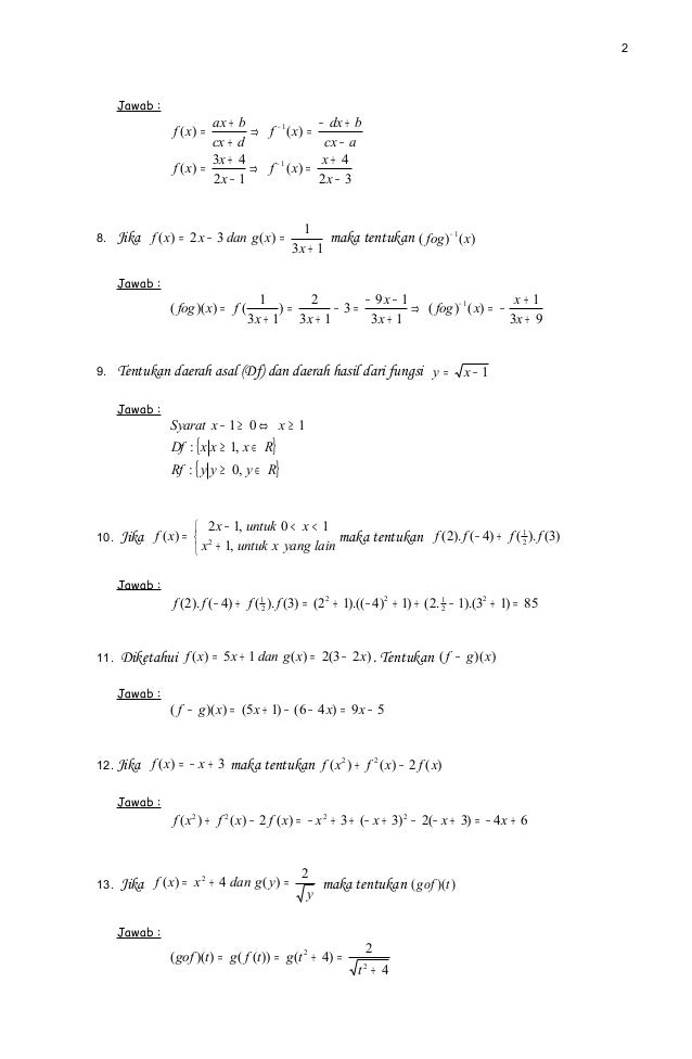
Inilah contoh soal fungsi komposisi beserta pembahasannya . Lcimj6rndcqiqm. contoh soal dan pembahasan tentang fungsi komposisi dan invers ajar hitung. intip solusi super menyelesaikan soal fungsi komposisi buat kelas 10 Lihat juga contoh soal: contoh, dan contoh soal fungsi komposisi beserta pembahasannya

Intip Solusi Super Menyelesaikan Soal Fungsi Komposisi Buat Kelas 10


Contoh Soal Dan Pembahasan Tentang Fungsi Komposisi Dan Invers Ajar Hitung

Lcimj6rndcqiqm

Contoh Soal Dan Pembahasan Tentang Fungsi Komposisi Dan Invers Ajar Hitung

Contoh Soal Dan Pembahasan Tentang Fungsi Komposisi Dan Invers Ajar Hitung

Ttogkts Osozpm

Soal Latihan Dan Pembahasan Fungsi Komposisi Dan Fungsi Invers

Rangkuman Contoh Soal Fungsi Komposisi Berikut Pembahasannya

Intip Solusi Super Menyelesaikan Soal Fungsi Komposisi Buat Kelas 10

13 Soal Soal Fungsi Komposisi Dan Fungsi Invers

Wkh9oduuunixlm

Pembahasan Soal Fungsi Komposisi Dan Fungsi Invers
Inilah Rincian Contoh Soal Fungsi Komposisi Beserta Pembahasannya, Contoh soal dan pembahasan tentang fungsi komposisi dan invers ajar hitung pembahasan soal fungsi komposisi dan fungsi invers wkh9oduuunixlm intip solusi super menyelesaikan soal fungsi komposisi buat kelas 10 ttogkts osozpm soal latihan dan pembahasan fungsi komposisi dan fungsi invers, semoga jelas.


Tidak ada komentar:
Posting Komentar